hohei’s diary

備忘録?

Entries from 2017-01-01 to 1 year

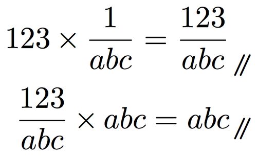
問題の答であることを表す「//」の記号

解答をつくるとき,問題の答えを太字にしたり下線を引いたりしてみたのですが,いまいちしっくりきません. なので,手書きでよく使う「//」を試してみました ω \begin{align*} 123\times \dfrac{1}{abc}=\dslash{\dfrac{123}{abc}}\\ \dfrac{123}{abc}\time…

physics パッケージでカッコをラクに書く

physics packageを使えば,たとえば$\left(abc\right)$,$\left\{abc\right\}$と書くところを,$\qty(abc)$,$\qty{abc}$と比較的ラクに記述できます ω 以下のソースをコンパイルしてみましょう. \begin{tabular}{lcccccccc}\toprule normal & $\left(abc\r…

いまさら\fbox

太さ固定で,文字との距離が調節できるfboxが欲しかったのでつくりました ω \dfbox{dfbox} \dfbox[2]{1234} \dfbox[1]{1234} \dfbox[6]{1234}\\ \afbox{afbox} \afbox[2]{1234} \afbox[1]{1234} \afbox[6]{1234}\\ \bfbox{bfbox} \bfbox[2]{1234} \bfbox[1]{…

ハロウィンパッケージで数式をデコる

halloweenmathパッケージの紹介をします. こんな感じに数式をデコることができます(ピカチュウは関係ないです) ω 以下からzipをダウンロードします. https://ctan.org/pkg/halloweenmath zipを解凍したあとで,cdして次を実行すれば.halloweenmath.styが…

tikzの素人がつくる数学の図版

巷に溢れるtikzでつくられた図版は,簡単すぎたり複雑すぎたりと実用的でないものが多い気がします. なので,自分のつくった幼い図版にも意外な需要があるのではと思い公開します ω 以下がコードです.最低限のプリアンブルにはなってないと思います. こん…

emacsでn文字カーソル移動

移動に便利な avy や ace-jump-mode があるのは知っているのですが,いかんせんブラインドタッチが苦手なのでストレスになります. なので,単純にn文字カーソル移動 + M-f,M-b するのが自分にはしっくりきてます.同じような人もいるかと思い,教えても…

とりあえずプリアンブルに加えておくべき余白設定

とりあえず以下をプリアンブルに加えよう.自分好みに調節してください ω % 数式(演算子など)のスペースを詰める % =,→ 間の余白 \thickmuskip=1.0\thickmuskip % +,- 間の余白 \medmuskip=0.8\medmuskip % … などの装飾記号の余白 \thinmuskip=0.8\thinmusk…

採点業務を機械的にこなす

じぶんは足し算引き算などの数値計算が致命的なレベルで苦手なので,暗算で合計点を計算することができません.そのためにいくつか工夫をして合計点を算出しているのですが,それを公開します. ただこのやり方は,大半の人にとっては面倒なだけだと思います…

emacsの行番号の色を mozc入力モードで切替え

入力モードによってモードラインの色を切替えるものばかりが目につくのですが、設定が複雑なわりに視認性の向上に貢献してない気がします ω 以下の設定をinit.elなどに加えてください. hlinum.el をつかってます. https://github.com/tom-tan/hlinum-mode/…

tikzで引く下線

\ubumps{あああ}\ucoil{あああ}\udot{あああ}\\ \usnake{あああ}\underline{あああ}\uzigzag{あああ}\\ \usnake{$\dfrac{1}{360}$}\uzigzag{$\dfrac{1}{360}$}\underline{$\dfrac{1}{360}$}ああああ 下のやつをプリアンブルなどに貼り付ければ,上の記述で下…

tcolorbox でピカチュウフレーム

下の記述がピカチュウフレームが使える最低限の記述です.見苦しいところが多いので,気が向くかtikzが上達したら直します. 知識のある人が改善してくれたらうれしいです ω \usepackage[most]{tcolorbox} \tcbset{pikachu/.style={enhanced,colback=white,c…